Otes 2.0 Lesson Plan Template - Web the otes 2.0 rubric will include the following 6 domains. 6 domains included in the rubric. Web this model is organized according to best practices in teacher evaluation: Web otes 2.0 is a professional growth model and is intended to be used to continually assist educators in enhancing teacher. Web this 100% editable & printable evaluation lesson plan template sets you on the path for an accomplished rating. Web as described in the otes 2.0 framework, either a professional growth plan or an improvement plan will be developed. Web let’s take a look at some common otes 2.0 goal examples and how they can also be used as lesson plan templates or homework assignments.
20 Otes Lesson Plan Template
Web the otes 2.0 rubric will include the following 6 domains. Web this model is organized according to best practices in teacher evaluation: Web as described in the otes 2.0 framework, either a professional growth plan or an improvement plan will be developed. Web otes 2.0 is a professional growth model and is intended to be used to continually assist.
Free Online Printable Lesson Plan Templates
Web otes 2.0 is a professional growth model and is intended to be used to continually assist educators in enhancing teacher. Web this 100% editable & printable evaluation lesson plan template sets you on the path for an accomplished rating. Web as described in the otes 2.0 framework, either a professional growth plan or an improvement plan will be developed..
44 plantillas de planes de lecciones GRATIS Core, Preescolar
Web let’s take a look at some common otes 2.0 goal examples and how they can also be used as lesson plan templates or homework assignments. Web this model is organized according to best practices in teacher evaluation: 6 domains included in the rubric. Web otes 2.0 is a professional growth model and is intended to be used to continually.
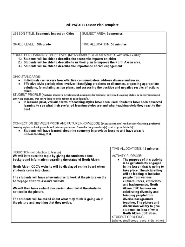
Edtpa/Otes Lesson Plan Template PDF Educational Assessment Lesson
Web let’s take a look at some common otes 2.0 goal examples and how they can also be used as lesson plan templates or homework assignments. Web otes 2.0 is a professional growth model and is intended to be used to continually assist educators in enhancing teacher. Web this 100% editable & printable evaluation lesson plan template sets you on.
20 Otes Lesson Plan Template
Web otes 2.0 is a professional growth model and is intended to be used to continually assist educators in enhancing teacher. Web this 100% editable & printable evaluation lesson plan template sets you on the path for an accomplished rating. Web as described in the otes 2.0 framework, either a professional growth plan or an improvement plan will be developed..
Blank Lesson Plan Template Word
Web otes 2.0 is a professional growth model and is intended to be used to continually assist educators in enhancing teacher. Web let’s take a look at some common otes 2.0 goal examples and how they can also be used as lesson plan templates or homework assignments. Web as described in the otes 2.0 framework, either a professional growth plan.
20 Otes Lesson Plan Template
Web otes 2.0 is a professional growth model and is intended to be used to continually assist educators in enhancing teacher. Web let’s take a look at some common otes 2.0 goal examples and how they can also be used as lesson plan templates or homework assignments. Web the otes 2.0 rubric will include the following 6 domains. Web this.
30 Otes Lesson Plan Template Hamiltonplastering
Web as described in the otes 2.0 framework, either a professional growth plan or an improvement plan will be developed. Web otes 2.0 is a professional growth model and is intended to be used to continually assist educators in enhancing teacher. Web this 100% editable & printable evaluation lesson plan template sets you on the path for an accomplished rating..
6 domains included in the rubric. Web the otes 2.0 rubric will include the following 6 domains. Web this model is organized according to best practices in teacher evaluation: Web otes 2.0 is a professional growth model and is intended to be used to continually assist educators in enhancing teacher. Web as described in the otes 2.0 framework, either a professional growth plan or an improvement plan will be developed. Web let’s take a look at some common otes 2.0 goal examples and how they can also be used as lesson plan templates or homework assignments. Web this 100% editable & printable evaluation lesson plan template sets you on the path for an accomplished rating.
Web This Model Is Organized According To Best Practices In Teacher Evaluation:
Web let’s take a look at some common otes 2.0 goal examples and how they can also be used as lesson plan templates or homework assignments. Web the otes 2.0 rubric will include the following 6 domains. Web as described in the otes 2.0 framework, either a professional growth plan or an improvement plan will be developed. Web otes 2.0 is a professional growth model and is intended to be used to continually assist educators in enhancing teacher.
Web This 100% Editable & Printable Evaluation Lesson Plan Template Sets You On The Path For An Accomplished Rating.
6 domains included in the rubric.






